Emiel Slootman, Igor Poltavsky, Ravindra Shinde, Jacopo Cocomello, Saverio Moroni, Alexandre Tkatchenko, Claudia Filippi J. Chem. Theory Comput., 20, 14, 6020. DOI: 10.1021/acs.jctc.4c00498
Posenitskiy, Evgeny and Chilkuri, Vijay Gopal and Ammar, Abdallah and Hapka, Michal and Pernal, Katarzyna and Shinde, Ravindra and Landinez Borda, Edgar Josue and Filippi, Claudia and Nakano, Kosuke and Kohulak, Otto and Sorella, Sandro and de Oliveira Castro, Pablo and Jalby, William and Rios, Pablo Lopez and Alavi, Ali and Scemama, Anthony J. Chem Phys, 2023, 158, 17, DOI: 10.1063/5.0148161
Photo-induced degradation of PFASs: Excited-state mechanisms from real-time time-dependent density functional theory
Sharma Yamijala, Ravindra Shinde, Kota Hanasaki, Zulfikhar Ali, and Bryan Wong J. Hazard Mat, 2022, 423, 127026, DOI: 10.1016/j.jhazmat.2021.127026
Nikhilesh Maity, Pooja Srivastava, Himani Mishra, Ravindra Shinde, Abhishek Kumar Singh, J. Phys. Chem. Lett, 2021, 12, 1765, DOI: 10.1021/acs.jpclett.0c03469
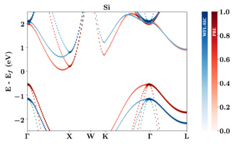
Improved band gaps and structural properties from Wannier–Fermi–Lowdin self-interaction corrections for periodic systems
Ravindra Shinde, Sharma Yamijala, J. Phys: Cond. Mat., 2020, 33, 115501, DOI: 10.1088/1361-648x/abc407









